产品目录
大香蕉啪啪啪
液体流量计
香蕉视频APP下载网站
油流量计
香蕉视频三级
椭圆齿轮流量计
电磁流量计
涡街流量计
蒸汽流量计
孔板流量计
旋进旋涡流量计
热式气体质量流量计
转子流量计
浮子流量计
靶式流量计
气体流量计
超声波流量计
磁翻板液位计
浮子液位计
浮球液位计
玻璃管液位计
雷达液位计
超声波液位计
投入式液位计
压力变送器
差压变送器
液位变送器
温度变送器
热电偶
热电阻
双金属温度计
推荐产品
联系91香蕉在线视频
- 金湖91香蕉在线视频仪表有限公司
- 联系电话:15195518515
- 在线客服:1464856260
- 电话:0517-86801009
- 传真号码:0517-86801007
- 邮箱:1464856260@qq.com
- 网址:http://www.lafattehome.com
- 地址:江苏省金湖县理士大道61号
脉动流测量方法及对涡轮流量计测量误差的影响
发布时间:2020-08-29 07:26:35 点击次数:4110次
所谓脉动流是指流体在测量区域的流速是时间的函数,但在一个足够长的时间段内有一个恒定的平均值,这个值取决于脉动流的流动规律。
真正的管道定常流只在层流中出现,通常其Re<2000,大多数工业管流均有较高的Re数,且出现湍流现象。这些流体通常在速度、压力和温度上出现连续的、无规则的、随机的波动。导致波动产生的原因有多种,可因旋转动力机械 ,如旋转或往复式发动机、压缩机和鼓风机造成,可由工作管道的振动,特别是共振造成,也可由流量控制器的周期性动作和调节器的往复开关及流体管道装置、阀或旋转机械分流造成,还可因流体系统的几何特征而引起的流体力学振动和多段流而引起。
脉动流的存在会导致流量计出现计量误差,甚至不能正常工作,其中尤以差压式流量计、涡轮流量计和涡街流量计对其*为敏感。如何校正或减少脉动对流量测量特性的影响,是流量测量中比较重要的课题。
1、脉动流特性参数的主要测量方法
脉动无处无时不在,但测量却非常困难,直接测量脉动流几乎是不可能的,91香蕉在线视频通常测量出脉动流的主要参数,如幅值、频率和波形,然后通过这些参数分析脉动可能给流量计造成的影响。通常主要的测量方法有非接触方法和接触方法。
非接触方法包括光学方法和声学方法。光学方法主要采用LDA,此技术可测出管轴线处的点速度,并对脉动流振幅和波形作出估算,声学方法主要采用Doppler Shift,该技术仅用于液体,其传送器和接受器安装在管道外壁,可据其测得的充分发展的瞬时速度剖面精确计算其脉动特性。接触方法主要是热线风速仪法,可用来测量脉动点速度,它具有足够的测量频宽,可采用在线计算机显示流速的*大脉动量。
2、脉动流对涡轮流量计测量误差的影响
2.1误差方程及其计算
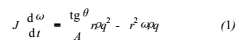
涡轮流量计以动量矩守恒原理为基础,是一种速度式流量仪表。对非稳定流,由于转子叶片和相关传动装置的共振、转子的转动惯量、脉动流的形状、转子和齿轮的摩擦阻力及转子瞬时转矩等诸多因素的影响,会使涡轮流量计产生很大的误差。应用机翼理论来分析作用在转子上的驱动力矩和阻力矩,可得到其运动方程:

式中:J为叶片转动惯量;θ为叶片与轴线之间的夹角;r为涡轮叶片的平均半径;A为管道流道面积;ρ为流体密度;ω为涡轮的旋转角速度;q为通过管道的流量。
若把脉动流表示为q=asin2πfpt,经分析整理,可得出涡轮旋转加速度与脉动流各参数的关系:

式中:c为稳态时的ω值。此时其测量误差可用下式表示:

对特定的涡轮流量计和不同的脉动流,可编程计算出式(2)在脉动周期内各离散点所对应的ω(t),据此可计算出涡轮流量计测量误差E。其流程图如图1所示。

2.2结果与分析
经过计算分析,发现导致涡轮流量计产生误差的主要因素是脉动流的振幅和频率,通过对多幅图形的比较,发现有如下规律:
①从曲线分布的象限来看,脉动流导致涡轮流量计出现一个正误差。当流体出现脉动时,在加速流体中,叶片的转动惯量能引起转子速度变慢,落后于定常流时的转速;在减速流体中,叶片的转动惯量能导致转子速度加快,超过定常流时的转速。由于加速时的影响比减速时的影响小得多,因此,脉动流出现时流量计显示的平均流速远大于平均流量,出现正误差,此误差有时*大可达50%。
②当脉动频率fp小于涡轮转子的角频率ω时,测量结果接近真值,脉动流所引起的误差很小。当脉动频率fp大于涡轮转子的角频率ω时,响应失真,会引起较大误差,且随着频率的增大,误差随着增大,*终趋于稳定(见图2和图3)。

③当脉动频率大于涡轮转子的角加速度时,脉动振幅的变化能引起涡轮流量计的测量误差产生大的改变,此误差随着脉动振幅的增大而升高,*大可达50%,但*终趋于稳定。(见图4和图5,α为脉动振幅与稳态振幅之比)。

3、结论
从以上分析计算可知,脉动流使涡轮流量计产生一个正的系统误差,该误差受脉动频率和振幅的影响。当脉动频率小于角加速度时,其误差可以认为为零;当脉动振幅小于某一振幅值时,其误差亦可认为不影响涡轮流量计的精度。脉动流对涡轮流量计测量精度的影响存在*限值。
相关资讯
- 香蕉视频三级安装直管段要求
- 香蕉视频三级的结构与工作原理
- 香蕉视频三级的产品特点和适用范围
- 香蕉视频三级选型指南与外形尺寸
- 涡轮流量计的常见故障及排除
- 涡轮流量表怎么调节
- 涡轮流量计安装直管段要求
- 涡轮流量计的适用场合与量程范围
- 涡轮流量计由什么组成
- 涡轮流量计的工作原理
- 压力对涡轮流量计精度的影响
- 大香蕉啪啪啪使用常见问题
- 大香蕉啪啪啪的使用场合
- 大香蕉啪啪啪怎么接电
- 涡轮流量计的使用范围
- 涡轮流量计安装条件与环境要求
- 涡轮流量计安装在什么位置
- 大香蕉啪啪啪设置方法
- 香蕉视频三级使用环境
- 香蕉视频三级使用注意事项
- 香蕉视频三级怎么清洗
- 香蕉视频三级适用范围
- 香蕉视频三级为什么要加油
- 香蕉视频三级波动大解决办法
- 香蕉视频三级安装距离要求
- 香蕉视频三级安装注意事项
- 香蕉视频三级应用范围
- 香蕉视频三级常见故障有哪些
- 提高香蕉视频三级精度的方法
- 香蕉视频三级精度等级

