产品目录
大香蕉啪啪啪
液体流量计
香蕉视频APP下载网站
油流量计
香蕉视频三级
椭圆齿轮流量计
电磁流量计
涡街流量计
蒸汽流量计
孔板流量计
旋进旋涡流量计
热式气体质量流量计
转子流量计
浮子流量计
靶式流量计
气体流量计
超声波流量计
磁翻板液位计
浮子液位计
浮球液位计
玻璃管液位计
雷达液位计
超声波液位计
投入式液位计
压力变送器
差压变送器
液位变送器
温度变送器
热电偶
热电阻
双金属温度计
推荐产品
联系91香蕉在线视频
- 金湖91香蕉在线视频仪表有限公司
- 联系电话:15195518515
- 在线客服:1464856260
- 电话:0517-86801009
- 传真号码:0517-86801007
- 邮箱:1464856260@qq.com
- 网址:http://www.lafattehome.com
- 地址:江苏省金湖县理士大道61号
防冻液流量计机械故障解决方法
发布时间:2020-11-24 01:53:55 点击次数:2118次
摘要:分析防冻液流量计产生机械慢表的原因,依据数据传输系统传回的停机延时流量制订机械慢表的评估方法,对某LWQZ-100B的流量计的30次停机数据进行分析,当流量计停机延时流量评估得分小于等于20分时,通过贝叶斯定理判断,依据评估得分发现该流量计为机械慢表的准确率的大于等于90%的可信度为94.94%。如果客户用气设备每天至少停机1次,则评估周期*多需要30d,该评估方法可将故障发现周期从2a缩短到30d,*大程度降低燃气公司的机械慢表损失。
1概述
在日常工作中,防冻液流量计因轴承卡死等机械故障而造成的流量计不计量现象(俗称机械死表),通常都能被燃气公司工作人员及时发现,追缴气量也较容易。而因轴承磨损导致的计量误差偏大的现象(俗称机械慢表),由于现场缺乏有效的技术手段,较难及时发现,目前诊断机械慢表只有定期将流量计通过检测台,用音速喷嘴等标准计量装置检定,即流量计周检。根据JJG1037—2008《防冻液流量计检定规程》(以下简称JJG1037—2008)要求,防冻液流量计检定周期为2a,即出现机械慢表时,在及时进行流量计周检的情况下,该故障*长可能存在2a。
2形成机械慢表的原因分析
防冻液流量计的主要计量部件为机芯,防冻液流量计的结构见图1。
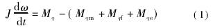
防冻液流量计机芯由轴、轴承、叶轮组成,机芯的叶轮两端由轴承支撑,当流体通过时,冲击叶轮,对叶轮产生驱动力矩Mτ,使叶轮克服机械摩擦力矩Mτm、流体阻力矩Mτf以及磁电转换器对叶轮产生的电磁反作用力矩Mτe而产生旋转。由此可以建立叶轮的运动微分方程:

式中
J———叶轮的转动惯量,kg·m2
ω———叶轮的旋转角速度,rad/s
t———时间,s
Mτ———气体流动对叶轮所产生的驱动力矩,N·m

Mτm———叶轮旋转所产生的机械摩擦力矩,N·m
Mτf———流体阻力矩,N·m
Mτe———电磁反作用力矩,N·m
式(1)中通常电磁反作用力矩Mτe比较小,可以忽略。正常工作条件下,可认为管道内流量不**间变化,即叶轮以稳定的角速度旋转。即存在

由于机芯的轴与轴承直接接触,在气体中的粉尘、杂质等作用下,叶轮旋转就必然导致轴与轴承之间产生摩擦,进而产生磨损,工作时间越长,工况环境越差,润滑越不利,磨损也就越严重,从而机械摩擦力矩Mτm越来越大。使用初期,叶轮以应有角速度旋转,如果机械摩擦力矩越来越大,叶轮的旋转角速度会小于应有角速度,虽然随着角速度的降低,流体阻力矩变小,但是由于机械摩擦力矩增大,仍达到了稳定工况。这种叶轮旋转角速度变小的现象,叫流量计计量偏慢现象(即机械慢表)。因此认为:机械摩擦力矩Mτm增大是造成防冻液流量计机械慢表的主要原因。
3流量计工况数据分析
随着通信技术不断发展,燃气远传数据传输系统已逐步被燃气公司采用,该系统现场通过有线通信采集各项数据,再通过无线GPRS每2min一次上传数据至服务器,可**了解燃气温度、燃气压力、瞬时流量、累积流量等实时信息,主要应用于计量管理、抄收、预付费管理等方面。
①防冻液流量计叶轮惯性旋转时间
当用气设备停止用气时,管道内气体停止流动,叶轮由于惯性还在旋转,此时流量计仍有逐渐下降的瞬时流量显示。根据GB/T21391—2008《用气体防冻液流量计测量天然气流量》附录C的相关解释,在用气设备停机后,流量计叶轮旋转时间是评估该仪表运行工况的重要参数。
测量我公司常用的3种型号新流量计在用气设备停机后叶轮的惯性旋转时间,为了确保数据准确性,设备停机时的流量负荷选定在流量计量程的10%~90%,流量计叶轮惯性旋转时间实验结果见表1。
表1流量计叶轮惯性旋转时间实验结果
由表1可以看出,当停止用气后,流量计叶轮平均惯性旋转时间均大于140s,而根据前文分析可知,当流量计为机械慢表时,机械摩擦力矩Mτm增大,叶轮的旋转角速度ω急速下降,用气设备停机后叶轮惯性旋转时间缩短。因此,停机后惯性旋转时间是研究的关键切入点。
②停机延时流量
由于计量精准的防冻液流量计叶轮在用气设备停机后叶轮平均惯性旋转时间均大于140s,91香蕉在线视频对所监控的流量计停机时连续运行数据进行分析,得出计量精准的流量计在用气设备停机后仍会有小流量数据传输,将该流量定义为停机延时流量。某加气站计量精准的流量计用气设备停用时连续数据记录见表2。瞬时工况流量为1.90m3/h的流量为停机延时流量。
表2某加气站计量精准的流量计用气设备停机前后连续数据记录
由表2可以看出,流量计瞬时工况流量从用气设备运行时的263.19m3/h依次变为运行设备停机后的60.20m3/h、1.90m3/h的小流量(停机延时流量)数据传回,由于监控系统每2min传回一条数据,因此,当系统传回至少一条停机延时流量时,可认为此流量计惯性旋转时间大于120s,经多次比对91香蕉在线视频判定其运行工况良好,而后经现场拆表检查,该流量计机芯内部干净无异物,后送至检测中心检定,其低区误差在误差允许范围内。
机械摩擦力矩大的流量计在用气设备停机后往往没有小流量运行数据传输。某加气站机械摩擦力矩大的流量计在用气设备停用时连续数据记录见表3。
由表3可以看出,当用气设备停用后,没有小流量(停机延时流量)数据传回,而是直接从运行流量438.95m3/h变为0,而后经现场拆表检查,该流量计机芯的轴与轴承磨损严重,后送至检测中心检定,其低区误差不合格。因此判定其机械摩擦力矩Mτm增大,叶轮的旋转角速度降低,运行工况较差,发生机械慢表的可能性高。
表3某加气站机械摩擦力矩大的流量计用气设备停用时连续数据记录
4基于停机延时流量的评估方法
4.1防冻液流量计停机延时流量评估模型
根据不同用户用气规律的差异性,每个用户用气设备每天的停机次数各不相同,要反映流量计实时运行工况,不能只根据一条停机后的数据判断流量计的准确度,而是需要选取近期的多次停机数据进行评估。
为了确保所统计的停机数据能更加充分、准确地反映流量计实时运行工况,建立流量计停机延时流量评估得分计算式:

式中
S———满分为100分的情况下,评估周期内流量计停机延时流量评估得分,分
n———评估周期内有停机延时流量传回的停机次数,次
N———评估周期内该流量计的用气设备总停机次数,次
式(5)针对某一台流量计N次停机后的数据进行统计,其中n次有停机延时流量,(N-n)次无停机延时流量。根据以往经验,当N越大,即计算的总停机次数越多时,评估准确度越高。但是N越大意味着评估周期越长,流量计运行实时工况评估时效性降低,且工作量增大。因此N的取值需要进一步讨论。
4.2停机延时流量评估模型的贝叶斯定理实证
①实验流程
有别于经典统计学派,贝叶斯定理不仅考虑了样本信息,而且考虑了决策人员所拥有的知识、经验等私人信息,甚至包含着其主观判断。贝叶斯定理综合样本信息与先验信息后进行计算,可能更科学合理,而且可进一步随着新的实验信息的增加不断地进行越来越符合实际的调整与修正。先验概率是实验前根据以往积累的资料和经验,对事件发生可能性的一个预设;后验概率是在实验后,根据实验获得的信息对事件发生的可能性作重新审视和修正的概率。后验概率往往对事件发生与否有更为准确的判断,但需要设计随机实验来实现。
贝叶斯定理验证评估模型的实验流程见图2。贝叶斯定理验证评估模型的实验流程具体说明如下。

a.对于拟定的参数N,根据以往实践经验预设一个先验概率;
b.做实验,根据实验结果用贝叶斯公式计算后验概率;
c.验证得出的后验概率是否达到预定要求,根据结果*终确定参数N。
②N设为20次时的实验过程
现以LWQZ-100B流量计为例,根据式(5),当某台LWQZ-100B流量计停机延时流量评估得分S≤20分时,可以判定为机械慢表。此判断产生2种意见,意见1:此评分发现该型号机械慢表的准确率≥a1,a1为此评分发现该型号机械慢表的准确率的下限值,取90%;意见2:此评分发现该型号机械慢表的准确率≤a2,a2为此评分发现该型号机械慢表的准确率的上限值,70%。将意见1记为A1,意见2记为A2。对于这两种意见工作人员决定用做实验的方法确定其可信度。实验方法是根据式(5)计算并统计出x台机械慢表,然后把这x台流量计上检测台检测验证,然后计算可信度。
*先将N设定为20次,即针对某一台LWQZ-100B流量计统计计算其评估周期内*近的20次的停机数据。根据以往经验,工作人员认为意见1的可信度为60%,意见2的可信度为40%。记为P(A1)=60%,P(A2)=40%,此概率为先验概率。
a.*1次实验。用式(5)针对所监控的逾1000块规格为LWQZ-100B流量计随机计算,并选取其中5块S≤20分的流量计。经检测台检测后发现,该5块流量计中有3块确实为机械慢表,2块不是机械慢表。设B表示事件:x块流量计中有y块为机械慢表。在本事件中,x为5,y为3。
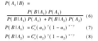
本论文所用到的贝叶斯公式如下:

式中
P(A1|B)———B发生的情况下A1的可信度
B———事件:经检测台检测,x块流量计中有y块机械慢表
P(B|A1)———A1发生的情况下B的可信度
P(A1)———*1种意见的可信度,其中A1为*1种意见
P(B|A2)———A2发生的情况下B的可信度
P(A2)———*2种意见的可信度,其中A2为*2种意见
x———实验中,取出的S≤20分的流量计数量,块
y———实验中,x块流量计中确实为机械慢表的流量计数量,块
a1———意见1中准确率的下限值,取90%
a2———准确率的上限值,取70%
根据式(6)~(8)可得,B发生的情况下A1的可信度为26.16%,即后验概率P(A1|B)=26.16%,P(A2|B)=73.84%。该实验证明A1和A2的先验概率有问题,需要再做*2次实验。
b.*2次实验。用式(5)针对所监控的逾1000块规格为LWQZ-100B流量计重新随机计算,并取其中10块S≤20分的流量计。经检测台检测后发现,该10块流量计中有7块确实为机械慢表,3块不是机械慢表。设C表示事件:10块流量计中有7块为机械慢表。
用C事件代替式(6)~(8)中的B事件,计算可得C发生的情况下A1的可信度为7.08%,即后验概率为P(A1|C)=7.08%,P(A2|C)=92.92%。
实验1、2说明,当N设定为20次时,发现机械慢表的准确率不高于70%的可信度已达92.92%,发现机械慢表的准确率较低。
③N设为30次时的实验过程
现将N调整为30次,即针对某一台LWQZ-100B流量计统计计算其评估周期内*近的30次的停机数据。根据以往经验,工作人员认为意见1的可信度为60%,意见2的可信度为40%。即P(A1)=60%,P(A2)=40%,此概率为先验概率。
a.*1次实验。用式(5)针对所监控的逾1000块规格为LWQZ-100B流量计重新随机计算,并取其中5块S≤20分的流量计,经检测台检测后发现,该5块流量计中有5块确实为机械慢表。设D表示事件:5块流量计中有5块为机械慢表。
用D事件代替式(6)~(8)中的B事件,计算可得D发生的情况下A1的可信度为84.06%,即后验概率为P(A1|D)=84.06%,P(A2|D)=15.94%,这种情形需要再做*2次实验。
b.*2次实验。用式(5)针对所监控的逾1000块规格为LWQZ-100B流量计重新随机计算,并取其中10块S≤20分的流量计,经检测台检测后发现,该10块流量计中有9块确实为机械慢表。设E表示事件:10块流量计中有9块为机械慢表。
用E事件代替式(6)~(8)中的B事件,计算可得E发生的情况下A1的可信度为94.94%,即后验概率为P(A1|E)=94.94%,P(A2|E)=5.06%。此实验说明,当N设定为30次,通过式(5)计算型号为LWQZ-100B的流量计*近的30条停机数据,当该流量计停机延时流量评分S≤20分时,此评分发现机械慢表的准确率≥90%的可信度已达到94.94%。
针对以上所做的4次实验可得出,当N设定为30次时,此评分模型发现型号为LWQZ-100B的流量计为机械慢表的准确率较高。现假设客户用气设备每天至少停机1次,则评估周期*多需要30d。
以上为型号为LWQZ-100B流量计的停机延时评分机制,其他型号流量计也可通过此流程建立类似的停机延时评分机制。对先验概率与后验概率的比较可以看出,应用贝叶斯定理有利于使工程师的经验、现场实验成果以及历史实验资料都充分发挥作用,有利于积累资料的同时丰富经验,是少投入多产出的好方法。
5结论
①将防冻液流量计机械慢表的故障程度**量化,大幅度降低不同型号流量计因机械摩擦力矩增加造成机械慢表的发现周期,将故障发现周期从2a缩短到30d,*大程度上降低燃气公司的经济损失,从而为企业营收做贡献。
②本文也是对燃气行业工商大表传统管理模式进行创新。通过应用该技术,可以将“*检合格、定期周检、到期报废”的传统管理模式演变为“*检合格、**评估、永远如新”的崭新管理模式。
1概述
在日常工作中,防冻液流量计因轴承卡死等机械故障而造成的流量计不计量现象(俗称机械死表),通常都能被燃气公司工作人员及时发现,追缴气量也较容易。而因轴承磨损导致的计量误差偏大的现象(俗称机械慢表),由于现场缺乏有效的技术手段,较难及时发现,目前诊断机械慢表只有定期将流量计通过检测台,用音速喷嘴等标准计量装置检定,即流量计周检。根据JJG1037—2008《防冻液流量计检定规程》(以下简称JJG1037—2008)要求,防冻液流量计检定周期为2a,即出现机械慢表时,在及时进行流量计周检的情况下,该故障*长可能存在2a。
2形成机械慢表的原因分析
防冻液流量计的主要计量部件为机芯,防冻液流量计的结构见图1。
防冻液流量计机芯由轴、轴承、叶轮组成,机芯的叶轮两端由轴承支撑,当流体通过时,冲击叶轮,对叶轮产生驱动力矩Mτ,使叶轮克服机械摩擦力矩Mτm、流体阻力矩Mτf以及磁电转换器对叶轮产生的电磁反作用力矩Mτe而产生旋转。由此可以建立叶轮的运动微分方程:

式中
J———叶轮的转动惯量,kg·m2
ω———叶轮的旋转角速度,rad/s
t———时间,s
Mτ———气体流动对叶轮所产生的驱动力矩,N·m

Mτm———叶轮旋转所产生的机械摩擦力矩,N·m
Mτf———流体阻力矩,N·m
Mτe———电磁反作用力矩,N·m
式(1)中通常电磁反作用力矩Mτe比较小,可以忽略。正常工作条件下,可认为管道内流量不**间变化,即叶轮以稳定的角速度旋转。即存在

由于机芯的轴与轴承直接接触,在气体中的粉尘、杂质等作用下,叶轮旋转就必然导致轴与轴承之间产生摩擦,进而产生磨损,工作时间越长,工况环境越差,润滑越不利,磨损也就越严重,从而机械摩擦力矩Mτm越来越大。使用初期,叶轮以应有角速度旋转,如果机械摩擦力矩越来越大,叶轮的旋转角速度会小于应有角速度,虽然随着角速度的降低,流体阻力矩变小,但是由于机械摩擦力矩增大,仍达到了稳定工况。这种叶轮旋转角速度变小的现象,叫流量计计量偏慢现象(即机械慢表)。因此认为:机械摩擦力矩Mτm增大是造成防冻液流量计机械慢表的主要原因。
3流量计工况数据分析
随着通信技术不断发展,燃气远传数据传输系统已逐步被燃气公司采用,该系统现场通过有线通信采集各项数据,再通过无线GPRS每2min一次上传数据至服务器,可**了解燃气温度、燃气压力、瞬时流量、累积流量等实时信息,主要应用于计量管理、抄收、预付费管理等方面。
①防冻液流量计叶轮惯性旋转时间
当用气设备停止用气时,管道内气体停止流动,叶轮由于惯性还在旋转,此时流量计仍有逐渐下降的瞬时流量显示。根据GB/T21391—2008《用气体防冻液流量计测量天然气流量》附录C的相关解释,在用气设备停机后,流量计叶轮旋转时间是评估该仪表运行工况的重要参数。
测量我公司常用的3种型号新流量计在用气设备停机后叶轮的惯性旋转时间,为了确保数据准确性,设备停机时的流量负荷选定在流量计量程的10%~90%,流量计叶轮惯性旋转时间实验结果见表1。
表1流量计叶轮惯性旋转时间实验结果
| 流量计型号 | 用气设备停机时瞬时流量占流量计*大量程的占比/% | 测量次数/次 | 用气设备停机后叶轮平均惯性旋转时间/s |
| LWQZ-50Z | 10 | 10 | 142 |
| LWQZ-50Z | 20 | 10 | 145 |
| LWQZ-50Z | 40 | 10 | 152 |
| LWQZ-50Z | 50 | 10 | 150 |
| LWQZ-50Z | 60 | 10 | 154 |
| LWQZ-50Z | 90 | 10 | 155 |
| LWQZ-80Z | 10 | 10 | 171 |
| LWQZ-80Z | 20 | 10 | 172 |
| LWQZ-80Z | 40 | 10 | 175 |
| LWQZ-80Z | 50 | 10 | 177 |
| LWQZ-80Z | 60 | 10 | 179 |
| LWQZ-80Z | 90 | 10 | 183 |
| LWQZ-100Z | 10 | 10 | 190 |
| LWQZ-100Z | 20 | 10 | 197 |
| LWQZ-100Z | 40 | 10 | 201 |
| LWQZ-100Z | 50 | 10 | 205 |
| LWQZ-100Z | 60 | 10 | 209 |
| LWQZ-100Z | 90 | 10 | 212 |
②停机延时流量
由于计量精准的防冻液流量计叶轮在用气设备停机后叶轮平均惯性旋转时间均大于140s,91香蕉在线视频对所监控的流量计停机时连续运行数据进行分析,得出计量精准的流量计在用气设备停机后仍会有小流量数据传输,将该流量定义为停机延时流量。某加气站计量精准的流量计用气设备停用时连续数据记录见表2。瞬时工况流量为1.90m3/h的流量为停机延时流量。
表2某加气站计量精准的流量计用气设备停机前后连续数据记录
| 温度/℃ | 压力/kPa | 瞬时工况流量/(m3·h-1) | 采集时间 |
| 26.92 | 282.756 | 263.20 | 2016-09-129:16 |
| 26.63 | 282.261 | 263.19 | 2016-09-129:18 |
| 26.78 | 282.696 | 263.19 | 2016-09-129:20 |
| 26.51 | 282.184 | 60.20 | 2016-09-129:22 |
| 26.50 | 288.762 | 1.90 | 2016-09-129:24 |
| 26.20 | 288.735 | 0.00 | 2016-09-129:26 |
机械摩擦力矩大的流量计在用气设备停机后往往没有小流量运行数据传输。某加气站机械摩擦力矩大的流量计在用气设备停用时连续数据记录见表3。
由表3可以看出,当用气设备停用后,没有小流量(停机延时流量)数据传回,而是直接从运行流量438.95m3/h变为0,而后经现场拆表检查,该流量计机芯的轴与轴承磨损严重,后送至检测中心检定,其低区误差不合格。因此判定其机械摩擦力矩Mτm增大,叶轮的旋转角速度降低,运行工况较差,发生机械慢表的可能性高。
表3某加气站机械摩擦力矩大的流量计用气设备停用时连续数据记录
| 温度/℃ | 压力/kPa | 瞬时工况流量/(m3·h-1) | 采集时间 |
| 22.84 | 258.615 | 438.95 | 2016-09-1210:24 |
| 22.70 | 258.412 | 438.94 | 2016-09-1210:26 |
| 22.71 | 258.645 | 438.92 | 2016-09-1210:28 |
| 22.63 | 258.191 | 438.94 | 2016-09-1210:30 |
| 22.60 | 262.212 | 438.95 | 2016-09-1210:32 |
| 22.50 | 262.335 | 0.00 | 2016-09-1210:34 |
4.1防冻液流量计停机延时流量评估模型
根据不同用户用气规律的差异性,每个用户用气设备每天的停机次数各不相同,要反映流量计实时运行工况,不能只根据一条停机后的数据判断流量计的准确度,而是需要选取近期的多次停机数据进行评估。
为了确保所统计的停机数据能更加充分、准确地反映流量计实时运行工况,建立流量计停机延时流量评估得分计算式:

式中
S———满分为100分的情况下,评估周期内流量计停机延时流量评估得分,分
n———评估周期内有停机延时流量传回的停机次数,次
N———评估周期内该流量计的用气设备总停机次数,次
式(5)针对某一台流量计N次停机后的数据进行统计,其中n次有停机延时流量,(N-n)次无停机延时流量。根据以往经验,当N越大,即计算的总停机次数越多时,评估准确度越高。但是N越大意味着评估周期越长,流量计运行实时工况评估时效性降低,且工作量增大。因此N的取值需要进一步讨论。
4.2停机延时流量评估模型的贝叶斯定理实证
①实验流程
有别于经典统计学派,贝叶斯定理不仅考虑了样本信息,而且考虑了决策人员所拥有的知识、经验等私人信息,甚至包含着其主观判断。贝叶斯定理综合样本信息与先验信息后进行计算,可能更科学合理,而且可进一步随着新的实验信息的增加不断地进行越来越符合实际的调整与修正。先验概率是实验前根据以往积累的资料和经验,对事件发生可能性的一个预设;后验概率是在实验后,根据实验获得的信息对事件发生的可能性作重新审视和修正的概率。后验概率往往对事件发生与否有更为准确的判断,但需要设计随机实验来实现。
贝叶斯定理验证评估模型的实验流程见图2。贝叶斯定理验证评估模型的实验流程具体说明如下。

a.对于拟定的参数N,根据以往实践经验预设一个先验概率;
b.做实验,根据实验结果用贝叶斯公式计算后验概率;
c.验证得出的后验概率是否达到预定要求,根据结果*终确定参数N。
②N设为20次时的实验过程
现以LWQZ-100B流量计为例,根据式(5),当某台LWQZ-100B流量计停机延时流量评估得分S≤20分时,可以判定为机械慢表。此判断产生2种意见,意见1:此评分发现该型号机械慢表的准确率≥a1,a1为此评分发现该型号机械慢表的准确率的下限值,取90%;意见2:此评分发现该型号机械慢表的准确率≤a2,a2为此评分发现该型号机械慢表的准确率的上限值,70%。将意见1记为A1,意见2记为A2。对于这两种意见工作人员决定用做实验的方法确定其可信度。实验方法是根据式(5)计算并统计出x台机械慢表,然后把这x台流量计上检测台检测验证,然后计算可信度。
*先将N设定为20次,即针对某一台LWQZ-100B流量计统计计算其评估周期内*近的20次的停机数据。根据以往经验,工作人员认为意见1的可信度为60%,意见2的可信度为40%。记为P(A1)=60%,P(A2)=40%,此概率为先验概率。
a.*1次实验。用式(5)针对所监控的逾1000块规格为LWQZ-100B流量计随机计算,并选取其中5块S≤20分的流量计。经检测台检测后发现,该5块流量计中有3块确实为机械慢表,2块不是机械慢表。设B表示事件:x块流量计中有y块为机械慢表。在本事件中,x为5,y为3。
本论文所用到的贝叶斯公式如下:

式中
P(A1|B)———B发生的情况下A1的可信度
B———事件:经检测台检测,x块流量计中有y块机械慢表
P(B|A1)———A1发生的情况下B的可信度
P(A1)———*1种意见的可信度,其中A1为*1种意见
P(B|A2)———A2发生的情况下B的可信度
P(A2)———*2种意见的可信度,其中A2为*2种意见
x———实验中,取出的S≤20分的流量计数量,块
y———实验中,x块流量计中确实为机械慢表的流量计数量,块
a1———意见1中准确率的下限值,取90%
a2———准确率的上限值,取70%
根据式(6)~(8)可得,B发生的情况下A1的可信度为26.16%,即后验概率P(A1|B)=26.16%,P(A2|B)=73.84%。该实验证明A1和A2的先验概率有问题,需要再做*2次实验。
b.*2次实验。用式(5)针对所监控的逾1000块规格为LWQZ-100B流量计重新随机计算,并取其中10块S≤20分的流量计。经检测台检测后发现,该10块流量计中有7块确实为机械慢表,3块不是机械慢表。设C表示事件:10块流量计中有7块为机械慢表。
用C事件代替式(6)~(8)中的B事件,计算可得C发生的情况下A1的可信度为7.08%,即后验概率为P(A1|C)=7.08%,P(A2|C)=92.92%。
实验1、2说明,当N设定为20次时,发现机械慢表的准确率不高于70%的可信度已达92.92%,发现机械慢表的准确率较低。
③N设为30次时的实验过程
现将N调整为30次,即针对某一台LWQZ-100B流量计统计计算其评估周期内*近的30次的停机数据。根据以往经验,工作人员认为意见1的可信度为60%,意见2的可信度为40%。即P(A1)=60%,P(A2)=40%,此概率为先验概率。
a.*1次实验。用式(5)针对所监控的逾1000块规格为LWQZ-100B流量计重新随机计算,并取其中5块S≤20分的流量计,经检测台检测后发现,该5块流量计中有5块确实为机械慢表。设D表示事件:5块流量计中有5块为机械慢表。
用D事件代替式(6)~(8)中的B事件,计算可得D发生的情况下A1的可信度为84.06%,即后验概率为P(A1|D)=84.06%,P(A2|D)=15.94%,这种情形需要再做*2次实验。
b.*2次实验。用式(5)针对所监控的逾1000块规格为LWQZ-100B流量计重新随机计算,并取其中10块S≤20分的流量计,经检测台检测后发现,该10块流量计中有9块确实为机械慢表。设E表示事件:10块流量计中有9块为机械慢表。
用E事件代替式(6)~(8)中的B事件,计算可得E发生的情况下A1的可信度为94.94%,即后验概率为P(A1|E)=94.94%,P(A2|E)=5.06%。此实验说明,当N设定为30次,通过式(5)计算型号为LWQZ-100B的流量计*近的30条停机数据,当该流量计停机延时流量评分S≤20分时,此评分发现机械慢表的准确率≥90%的可信度已达到94.94%。
针对以上所做的4次实验可得出,当N设定为30次时,此评分模型发现型号为LWQZ-100B的流量计为机械慢表的准确率较高。现假设客户用气设备每天至少停机1次,则评估周期*多需要30d。
以上为型号为LWQZ-100B流量计的停机延时评分机制,其他型号流量计也可通过此流程建立类似的停机延时评分机制。对先验概率与后验概率的比较可以看出,应用贝叶斯定理有利于使工程师的经验、现场实验成果以及历史实验资料都充分发挥作用,有利于积累资料的同时丰富经验,是少投入多产出的好方法。
5结论
①将防冻液流量计机械慢表的故障程度**量化,大幅度降低不同型号流量计因机械摩擦力矩增加造成机械慢表的发现周期,将故障发现周期从2a缩短到30d,*大程度上降低燃气公司的经济损失,从而为企业营收做贡献。
②本文也是对燃气行业工商大表传统管理模式进行创新。通过应用该技术,可以将“*检合格、定期周检、到期报废”的传统管理模式演变为“*检合格、**评估、永远如新”的崭新管理模式。

