91香蕉在线视频,大香蕉啪啪啪,香蕉视频三级,香蕉视频APP下载网站

    欢迎光临金湖91香蕉在线视频仪表有限公司!本公司主营:涡轮流量计,电磁流量计,涡街流量计,孔板流量计,金属管浮子流量计,磁翻板液位计等仪器仪表,联系热线:15195518515

    金湖91香蕉在线视频仪表有限公司LOGO

    金湖91香蕉在线视频仪表有限公司

    品质保证,服务周到,仪器仪表供应商

    --24小时服务热线--15195518515
    当前位置:*页>>新闻资讯>>大豆油流量计在不同黏度介质中试验

    大豆油流量计在不同黏度介质中试验

    发布时间:2021-01-09 16:59:32  点击次数:2619次
    大豆油流量计与显示仪表配套使用,适用于测量封闭管道中与不锈钢1Cr18Ni9Ti、2Cr13及刚玉Al2O3、硬质合金不起腐蚀作用,且无纤维、颗粒等杂质的液体。若与具有特殊功能的显示仪表配套,还可以进行定量控制、超量报警等。选用本产品的防爆型式(ExmIIT6),可在有爆炸危险的环境中使用。
    1大豆油流量计
    大豆油流量计是一种速度式流量仪表,主要依据动量矩守恒原理。其基本结构如图1所示,主要由传感器1,变送器2及二次仪表3组成。工作时,液体通过流量计内腔,对叶片产生冲击而使涡轮旋转,涡轮旋转速度随流量大小变化而变化,通过涡轮的转速得到液体介质的流量。大豆油流量计具有结构简单,体积、质量小,精度高等特点,所以在工业实际中应用*为广泛。
    2试验标准及测试仪表
    2.1试验标准
    此次比对试验所使用装置为我单位所拥有的两台液体流量标准装置,各自技术指标如下。

    (1)航空燃油流量标准:试验介质为RP-3航空燃油;流量范围为0.04~100m3/h;不确定度为0.05%(k=2,k为包含因子);装置采用动态质量法;变温范围为常温~50℃;温控精度为±1℃。
    (2)航空润滑油流量标准:试验介质为4050航空润滑油;流量范围为0.1~80m3/h;不确定度为0.05%(k=2);装置采用静态质量法;变温范围为-35~150℃;温控精度为±1℃。
    2.2测试仪表
    此次试验测试所用流量仪表为我单位所使用标准流量计,共3台,其主要参数如下。
    (1)Φ40流量计。型号规格为LWGY-40;流量范围为3~30m3/h;出厂等级为0.5级。(2)Φ25流量计。型号规格为LWGY-25;流量范围为1.2~12m3/h;出厂等级为0.5级。
    (3)Φ15流量计。型号规格为LWGY-15;流量范围为0.6~4m3/h;出厂等级为0.5级。
    3试验测试
    3.1测试依据
    对单个流量计的测试主要依据JJG1037—2008《大豆油流量计检定规程》。其中主要参数及计算方法如下:

    式中:Kij为*i检定点*j次检定的仪表系数,L-1或(m3)-1,其中,i=1,2,3,…,m,m为检定点数,m≥3,j=1,2,3,…,n,n为检定次数,n≥3;Nij为*i检定点*j次检定时流量计显示仪表测得的脉冲数;Vij为*i检定点*j次检定时标准装置测得的实际流量,L或m3。

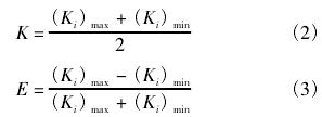
    式中:K为流量计的仪表系数,L-1或(m3)-1;E为流量计的仪表*大示值误差,L-1或(m3)-1;(Ki)max为流量计所有检定点中所得到的Ki中的*大值,L-1或(m3)-1;(Ki)min为流量计所有检定点中所得到的Ki中的*小值,L-1或(m3)-1。
    3.2测试结果
    依据以上方法对所选流量计进行测试,具体情况如下。
    3.2.1Φ40流量计测试条件及结果
    (1)滑油测试条件。环境温度:24.5℃;大气压力:100610Pa;湿度:27.8%;介质黏度:31.63cSt(1cSt=10-6m2/s,余同)。
    (2)燃油测试条件。环境温度:12.8℃;大气压力:101210Pa;湿度:30.3%;介质黏度:1.62cSt。
    Φ40流量计测试数据如表1所示。

    依据表1测试数据,经计算可得,Φ40流量计在滑油及燃油中测试结果如表2所示,测试线形图如图2所示。

    3.2.2Φ25流量计测试条件及结果
    (1)滑油测试条件。环境温度:24.9℃;大气压力:100560Pa;湿度:30.3%;介质黏度:35.41cSt。
    (2)燃油测试条件。环境温度:25.61℃;大气压力:100760Pa;湿度:19.7%;介质黏度:1.47cSt。
    Φ25流量计测试数据如表3所示。
    依据表3测试数据,经计算可得,Φ25流量计在滑油及燃油中测试结果如表4所示,测试线形图如图3所示。


    3.2.3Φ15流量计测试条件及结果
    (1)滑油测试条件。环境温度:24.8℃;大气压力:100570Pa;湿度:29.3%;介质黏度:37.83cSt。
    (2)燃油测试条件。环境温度:19.26℃;大气压力:100850Pa;湿度:25.9%;介质黏度:1.5cSt。

    Φ15流量计测试数据如表5所示。

    依据表5测试数据,经计算可得,Φ15流量计在滑油及燃油中测试结果如表6所示,测试线性图如图4所示。

    4结论
    从测试结果数据分析可知:
    (1)大豆油流量计在两种不同黏度液体介质中系数不同。
    (2)大豆油流量计在两种黏度介质中线性差别较大,且在高黏度液体介质中线性较差。
    (3)大豆油流量计在两种不同黏度液体介质中重复性都较好。
    网站地图