产品目录
大香蕉啪啪啪
液体流量计
香蕉视频APP下载网站
油流量计
香蕉视频三级
椭圆齿轮流量计
电磁流量计
涡街流量计
蒸汽流量计
孔板流量计
旋进旋涡流量计
热式气体质量流量计
转子流量计
浮子流量计
靶式流量计
气体流量计
超声波流量计
磁翻板液位计
浮子液位计
浮球液位计
玻璃管液位计
雷达液位计
超声波液位计
投入式液位计
压力变送器
差压变送器
液位变送器
温度变送器
热电偶
热电阻
双金属温度计
推荐产品
联系91香蕉在线视频
- 金湖91香蕉在线视频仪表有限公司
- 联系电话:15195518515
- 在线客服:1464856260
- 电话:0517-86801009
- 传真号码:0517-86801007
- 邮箱:1464856260@qq.com
- 网址:http://www.lafattehome.com
- 地址:江苏省金湖县理士大道61号
椭圆齿轮流量计产生误差原因
发布时间:2021-04-26 08:17:31 点击次数:2696次
容积式流量计在流量仪表中是精度高的一类流量测量仪表,其基本原理是利用机械测量元件把流体连续不断地分割成单个已知的体积部分,根据测量室不断地重复充满和排放该体积部分流体的次数来测量流体体积总量。容积式流量计的流量范围与被测介质的种类(主要决定于流体粘度)、使用特点(连续工作还是间歇工作)、测量准确度等因素有关。在工业流量测量领域,容积式流量计与 差压式流量计、浮子流量计并列为三类使用量大的流量计,常应用于昂贵介质(油品、天然气等)的总量测量。容积式流量计有椭圆齿轮流量计,双转子流量计、腰轮流量计、刮板流量计、活塞式流量计等类型,同一容积式流量计,对于介质种类,用于较高粘度的流体时,其流量范围较大(主要是下限流量可以扩展到较低的量值);对于使用特点,用于间歇测量时,其流量范围较大(主要是上限流量可以比连续工作时大);对于测量准确度,用于低准确度测量时,其流量范围较大,而用于高准确度测量时,流量范围较小。从流量计特性曲线上也可以清楚地看到这一点。
为了保持仪表良好的性能和较长的使用寿命,使用时大流量好应选在仪表大流量的70%-80%。
由于一般的容积式流量计体积庞大,在大流量时会产生较大噪声,所以一般适合中小流量测量。结合容积式流量计的性能,在需要测量大流量时,可采用45度组合腰轮结构的流量计;在需要低噪声工作的场合,可选用双转子流量计。
椭圆齿轮流量计容积式流量计是目前测量准确度高的流量计之一。厂家在产品样本上给出的测量准确里是指在实验室参比条件下得到的基本误差,而在实际使用中,由于现场条件的偏离,必然会带来附加误差,实际误差应该是基本误差和附加误差的合成。所以仪表选型时应根据现场可能出现的问题采取措施。
现场条件对测量准确度影响较大的主要有被测介质粘度的影响和温度的影响。
流体粘度对流量计误差特性的影响是对于流量的误差影响较大的因素之一,当实际使用的流体粘度与实验室检定时的流体粘度有较大差异时,应进行相应的粘度修正。如果除流体粘度外,其他参数没有明显的变化,则可以用进行粘度修正。关于以上所说的流量计的误差特点,与别的类型的流量计相比较有哪些明显的不同,用户在安装与使用椭圆齿轮流量计此类的容积式流量计过程中需要注意以下几点:
①定排量
容积式流量计的定排量是保证容积式流量计精度的重要因素.因此检测定排量元件的大小和物性是影响因素。
a.温度。随着温度上升,定排量元件材料的体膨胀使容积增大.例如,铝材料制成的流量计,其温度的影响比其他材料制成的流量计的影响要大.典型地,每增加1O℃F温度,误差增加0.02%。
b.磨损。随着使用时间的增加,磨损使定排量增大。但通常这种磨损较慢且可预测。
c.黏度。液体的黏度会在检侧元件表面形成一层薄膜,随着薄膜厚度的增加,定排量将减小,直到薄膜厚度不再增加(由于部件的摩擦)。
d.涂层和沉淀。与黏度造成检测元件表面形成薄膜的原理类似,涂层和沉淀也使检测元件的定排量减小。对于工况温度接近熔点温度的一些含石蜡油的原油,其厚度变化会很大。
②间隙造成泄漏量
容积式流量计中,移动部件和静止部件之间有间隙,这被称为毛细管密封。不同的流体差压造成流体从定排量检测元件中流失是造成误差的重要因素。
a.流率。随着流体差压的增加,流率增加,因此,漂移也随之增加,如图2-79曲线1所示。此外,随着差压增加,部件内摩擦和驱动部件转矩增大,如图2-79曲线2所示。因此,存在佳流率,使漂移小。

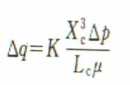
b.黏度.当液体黏度增加时,间隙内不容易流过流体,如图2-80所示,可用下式确定层流时的泄漏量△q:

式中,K是仪表系数,根据工程单位的不同,其值改变;Xc是间晾宽度;Lc是间隙长度;△p是间隙两侧的差压;μ是液体的**黏度

上式表明,随流体黏度增加,流阻增加,差压随之增加,造成瀚液量增加。此外,黏度增大,使流体不易流过间隙,因此,漏液量减小。前者以正比方式增大,后者以反比方式减小。
c.摩擦。机械部件的摩擦增加,会消耗更多流体的压头来克服摩擦.通常,如果50%大流量时的漂移量大于100%大流量时的漂移量,则表示机械内部的摩擦已经太大,应对有关部件更换。
d.磨损。机械部件磨损造成漂移量增加,间隙的微小增加会造成测量误差的成倍增加。
例如,0.004in磨损造成的测量误差是0.002in磨损造成测量误差的8倍。
上一篇:椭圆齿轮流量计维护保养下一篇:椭圆齿轮流量计流量偏小

