产品目录
大香蕉啪啪啪
液体流量计
香蕉视频APP下载网站
油流量计
香蕉视频三级
椭圆齿轮流量计
电磁流量计
涡街流量计
蒸汽流量计
孔板流量计
旋进旋涡流量计
热式气体质量流量计
转子流量计
浮子流量计
靶式流量计
气体流量计
超声波流量计
磁翻板液位计
浮子液位计
浮球液位计
玻璃管液位计
雷达液位计
超声波液位计
投入式液位计
压力变送器
差压变送器
液位变送器
温度变送器
热电偶
热电阻
双金属温度计
推荐产品
联系91香蕉在线视频
- 金湖91香蕉在线视频仪表有限公司
- 联系电话:15195518515
- 在线客服:1464856260
- 电话:0517-86801009
- 传真号码:0517-86801007
- 邮箱:1464856260@qq.com
- 网址:http://www.lafattehome.com
- 地址:江苏省金湖县理士大道61号
智能型涡轮流量计在航空煤油流量检定的选型及直管段长度确定
发布时间:2020-12-22 14:19:30 点击次数:3722次
在分析标准表法液体流量标准装置基本工作原理的基础上对装置结构进行了设计,重点对智能型涡轮流量计的选型以及前后直管段的长度确定,不同温度下3# 航空煤油的黏度对于直管段要求不同,直管段的合理选择是智能型涡轮流量计计量准确与否的前提。并确定流量计、温度变送器、压力变送器的选型方案,给出了装置仪表的检定实验结果。并且通过现场试验来验证装置的可行性,为标准表法流量标准装置的实施与推广提供依据。
引言
标准装置按计量器具可分为称重法、容积法和标准表法。其中标准表法是利用流体力学连续性原理将标准表和被检表串联连接,用标准表和相关的温度、压力等仪表给出标准累积流量,然后与被检表的累积流量比较,确定被检表的技术指标。标准表法流量标准装置相对其他标准装置有结构简单、工作效率高、操作简单等突出优点,特别是可以给出更宽的流量范围。
标准法液体流量标准装置中*重要的仪器就是标准表,本装置中选用智能型涡轮流量计做为标准表。自20 世纪50 年代末起,国内外学者对智能型涡轮流量计的性能影响做了大量的实验,并先后提出了智能型涡轮流量计的理论模型,其中以Thompson[3] 提出的模型*具代表性。吴国玢等在Thompson 模型的基础上理论预了黏度对智能型涡轮流量计性能的影响。国内外对于流量仪表检定装置开展了深入研究。Roger C.Baker等基于容积法设计了电子校准系统,虽然其准确度能满足,但仍属于传统的容积校准法,并且存在较大的噪声,对于大流量的航空煤油校准装置并不适用。关于智能型涡轮流量计的校准装置,Grady H.Stevens采用压差式流量计校准智能型涡轮流量计,同时对流体添加正弦扰动,通过一段直管段运行平稳后进入差压式流量计,进而得出不同的流量值进行比较。这种校准方法可以认为是标准表法的一种,其重复性强,比较实用,但其准确度不高,对于高准确度要求的航空煤油流量装置的检定无法满足要求。国内外关于校准装置的研究主要集中在传统的质量法和体积法。传统的校验方法无法满足对高准确度仪表的检定。对此,有国内学者实现了突破,采用标准体积管法,能实现对测量准确度的要求,但其测量范围较小,并且没有对标准装置的动态性能做出研究。流量计量经过长期的发展,已经应用在各个领域。智能型涡轮流量计因具有准确度高、响应快、测量范围宽等优点,国内外学者对其开展了大量的实验及仿真研究,深入了解它的特性,创造更高准确度的智能型涡轮流量计来作为标准装置的标准表来检定待测流量计。由于黏度对智能型涡轮流量计性能的影响较大,智能型涡轮流量计作为标准表大多应用于气体流量的计量,对于低黏度的液体计量,智能型涡轮流量计同样有着较高的准确度。本装置就是运用智能型涡轮流量计作为标准表的标准装置对3# 航空煤油进行流量计量。
1 智能型涡轮流量计测量模型
智能型涡轮流量计是一种速度式流量仪表,它以动量守恒原理为基础。流体冲击叶轮,使叶轮旋转,叶轮的旋转速度随流量的变化而变化,根据叶轮转速求出流量值。根据二元流动模型,从流体力学基础理论出发,运用二元边界层理论和叶栅理论提出涡轮流量黏性摩擦阻力矩和驱动力矩的理论模型:


式中,智能型涡轮流量计在理想的工作状态下,智能型涡轮流量计的仪表系数K 是常数,其物理意义就是单位体积qv 的脉冲数f,如式(1)所示。但实际工作中智能型涡轮流量计的工作状态并非理想的工作状态,被测流体通过叶轮时会产生以下几种力矩:进入智能型涡轮流量计的流体对涡轮叶片产生的推动力矩Tr,由于叶轮轴与轴承摩擦而产生的机械阻力矩Trm,被测流体通过智能型涡轮流量计叶轮时对叶轮产生的流动阻力距Trf,智能型涡轮流量计中电磁转换器对智能型涡轮流量计叶轮产生的电磁力矩Tre。根据牛顿运动定律,可以推算出如式(2)的智能型涡轮流量计叶轮的运动方程。根据智能型涡轮流量计叶轮进出口速度三角形分析计算,可得出如式(3)的智能型涡轮流量计的测量模型,其中Z 为叶轮流量计的叶片数, 为涡轮叶片的结构角。以上是智能型涡轮流量计的测量模型,可以定性地描述智能型涡轮流量计的基本特性。
2 装置的结构设计与分析
2.1 标准表法流量标准装置的结构设计根据加油机的计量检定规程,加油机流量计需要定期去检定部门检定仪表的准确度,检定过程中仪表的运输需要耗费很长的时间、精力以及财力。本装置设计的初衷是为计量检定部门制造出便于携带、可移动的标准装置,为计量检定人员对机场加油机流量检定时节省一定的时间和精力。标准表装置的出现可以大大节约检定所需要的时间成本。根据检定现场的需求,标准装置的长度不能大于1.5 m。标准装置中标准表选用的是高准确度的智能型涡轮流量计。
智能型涡轮流量计计量准确的前提是在涡轮流量的前后端要保持足够的直管段,直管段是被测流体进入智能型涡轮流量计之前流动状态稳定均匀的前置装置。
如图1 所示,标准装置由过滤器、整流器、压力变送器、前直管段、智能型涡轮流量计、后直管段、温度变送器、球阀组成。基于现场条件对装置的要求,标准装置长度有限,故需加弯管,在经过过滤器的弯管和直管段之间加有整流器,其目的是让流体在有限的直管段中更稳定,从而保证测量准确度。飞机加油机流量出口接头为HJS-63A 航空压力加油接头,通过加油软管与标准装置入口HDF63 型航空输油接头阀连接。进口流体依次通过过滤器、整流器、智能型涡轮流量计、球阀后,用HJS-63A 航空压力加油接头与加油机回油管路HDF63 型航空输油接头阀连接。
图2 是装置的电气连接原理图,智能型涡轮流量计的脉冲信号、温度变送器和压力变送器的信号连接至流量积算仪,通过RS485-USB 接头,各个信号连接至笔记本电脑进行采集和计算,各用电器的电源均由UPS 电源提供。

图1 标准装置原理图
标准表法流量仪表检定系统软件(图3)可以根据被测流体以及仪表的物性条件进行设置,可以采集脉冲数、温度、压力、时间、瞬时及累积流量等数据。标定结束后,采集的标准表累积流量和输入被测表的累计流量进行比对计算。

图3标准表法流量仪表检定系统软件界面2.2 标准表法流量标准装置的可行性分析液体流量的计量方法主要可以分为标准容器法和标准表法。标准容器法:标准容器校验液体流量又可以分为两种,即动态校验法和静态校验法。动态校验法是让被测流体按照一定的流量流入标准容器,按照一定的时间读出标准容器液面的上升量,或者读出液面上升一定高度所需要的时间。静态校验法是让一定量体积的流体进入标准容器,测定从开始到结束所需要的时间。标准容器法有较高的计量准确度,然而在标定大流量时,制造大型精密的
标准容器比较困难。另外,加油机流量比较大,进入标准容器时航空煤油会混入空气影响计量准确度。标准表法是用准确度更高的仪表作为标准仪表对其他流量计进行校准,用作高准确度流量计有容积式、涡轮式、电磁式和差压式等形式。标准装置选用的是高准确度的智能型涡轮流量计。


根据智能型涡轮流量计检定规程,装置的扩展不确定度应不大于流量计*大允许误差的1/3。由于加油机仪表准确度等级为0.2 级,其*大允许误差应为±0.2%,作为标准表标准装置仪表的*大允许误差应为±0.067%。本标准装置中智能型涡轮流量计的出厂参数为仪表的*大误差即0.125%,仪表的重复性为0.02%。单从仪表的*大允许误差方面考虑,仪表不能满足作为标准表检定的准确度。但对加油机标定,是定点标定。根据定点标定的原理,仪表的重复性
可以作为准确度等级去校准加油机的流量计。根据流量检定装置的要求,流量标准装置及其
配套仪表均应具有有效的检定**。智能型涡轮流量计;校准用流体:RP-3 航空煤油校准用流体温度24.3 ℃;流量范围:71.967~89.849 m3/h。由表2 智能型涡轮流量计检定结果显示,仪表系数的不确定度为0.06%,而加油机仪表准确度等级为0.2级,根据智能型涡轮流量计计量检定规程,装置的扩展确定度不大于流量计*大允许误差的1/3。表3、表4显示温度变送器和压力变送器的扩展不确定度满足相应的计量检定规程。由此可得出结论,本装置可以作为流量标准装置检定航空煤油的流量。对于温度压力的测量,根据要求,温度测量不确定度所引起的流量测量不确定度应不超过标准装置扩展不确定度的1/5,压力测量不确定度所引起的流量测量不确定度应不超过标准装置扩展不确定度的1/5。
表2 智能型涡轮流量计校准结果
3 装置的不确定度分析
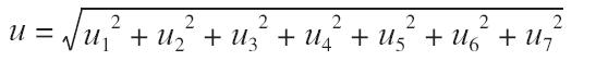
根据标准表法流量标准装置的不确定度要求,对装置不确定度进行分析,标准装置合成不确定度测量模型为

式中:u1 —— 标准流量计定点使用时A 类不确定度;
u2 —— 计时器的A 类标准不确定度;
u3 —— 计时器的B 类标准不确定度;
u4 —— 标准流量计不带配套仪表一起检定时
引起的流量测量不确定度,带配套仪表的标准流量计应带配套仪表一起检定,否则应考虑配套仪表的不确定度;
u5 —— 标准流量计检定和使用的流体条件不同引起的流量测量不确定度;
u6 —— 数据采集、信号处理、数据处理及通信不确定度引起的流量测量不确定度;
u7 —— 检定标准流量计的流量标准装置的合成不确定度
其中,本装置中流量积算仪采用XMFL-7 标准流量积算仪,有较高的分辨力。对于瞬时量在流量处于100~1 000 L/min 时,分辨力为百分之一(即0.01)个单位,对脉冲为0.01 Hz。对于累积流量在10~10 000 L 时,分辨力为千分之一(即0.001)个单位,对时间为1 ms。其计时器误差可以忽略不计,即u2= u3 = 0。标准流量计为智能型涡轮流量计,其传感器与配套转换器为一体,检定时是一起检定的,则u4 = 0。标准流量计检定和使用的流体都是3# 航空煤油,故u5 = 0。标准流量计仪表系数的重复性为0.02%,按规程可忽略不计,即u6 = 0。对于标准流量计测量A 类不确定度u1 的计算,

4 结语
重点对装置直管段的长度进行选择,确保不同黏度下3# 航空煤油在进入智能型涡轮流量计之前均有稳定的均匀的流动状态。对装置整体的不确定度分配进行计算,确定了标准表、温度变送器、压力变送器的选择方案。本装置的研制,大大缩短了机场加油机仪表标定的时间。装置体积小、结构简单、操作方便。本装置的研究有利于标准装置的普及,对流量计的研发以及生产具有重要意义。
引言
标准装置按计量器具可分为称重法、容积法和标准表法。其中标准表法是利用流体力学连续性原理将标准表和被检表串联连接,用标准表和相关的温度、压力等仪表给出标准累积流量,然后与被检表的累积流量比较,确定被检表的技术指标。标准表法流量标准装置相对其他标准装置有结构简单、工作效率高、操作简单等突出优点,特别是可以给出更宽的流量范围。
标准法液体流量标准装置中*重要的仪器就是标准表,本装置中选用智能型涡轮流量计做为标准表。自20 世纪50 年代末起,国内外学者对智能型涡轮流量计的性能影响做了大量的实验,并先后提出了智能型涡轮流量计的理论模型,其中以Thompson[3] 提出的模型*具代表性。吴国玢等在Thompson 模型的基础上理论预了黏度对智能型涡轮流量计性能的影响。国内外对于流量仪表检定装置开展了深入研究。Roger C.Baker等基于容积法设计了电子校准系统,虽然其准确度能满足,但仍属于传统的容积校准法,并且存在较大的噪声,对于大流量的航空煤油校准装置并不适用。关于智能型涡轮流量计的校准装置,Grady H.Stevens采用压差式流量计校准智能型涡轮流量计,同时对流体添加正弦扰动,通过一段直管段运行平稳后进入差压式流量计,进而得出不同的流量值进行比较。这种校准方法可以认为是标准表法的一种,其重复性强,比较实用,但其准确度不高,对于高准确度要求的航空煤油流量装置的检定无法满足要求。国内外关于校准装置的研究主要集中在传统的质量法和体积法。传统的校验方法无法满足对高准确度仪表的检定。对此,有国内学者实现了突破,采用标准体积管法,能实现对测量准确度的要求,但其测量范围较小,并且没有对标准装置的动态性能做出研究。流量计量经过长期的发展,已经应用在各个领域。智能型涡轮流量计因具有准确度高、响应快、测量范围宽等优点,国内外学者对其开展了大量的实验及仿真研究,深入了解它的特性,创造更高准确度的智能型涡轮流量计来作为标准装置的标准表来检定待测流量计。由于黏度对智能型涡轮流量计性能的影响较大,智能型涡轮流量计作为标准表大多应用于气体流量的计量,对于低黏度的液体计量,智能型涡轮流量计同样有着较高的准确度。本装置就是运用智能型涡轮流量计作为标准表的标准装置对3# 航空煤油进行流量计量。
1 智能型涡轮流量计测量模型
智能型涡轮流量计是一种速度式流量仪表,它以动量守恒原理为基础。流体冲击叶轮,使叶轮旋转,叶轮的旋转速度随流量的变化而变化,根据叶轮转速求出流量值。根据二元流动模型,从流体力学基础理论出发,运用二元边界层理论和叶栅理论提出涡轮流量黏性摩擦阻力矩和驱动力矩的理论模型:


式中,智能型涡轮流量计在理想的工作状态下,智能型涡轮流量计的仪表系数K 是常数,其物理意义就是单位体积qv 的脉冲数f,如式(1)所示。但实际工作中智能型涡轮流量计的工作状态并非理想的工作状态,被测流体通过叶轮时会产生以下几种力矩:进入智能型涡轮流量计的流体对涡轮叶片产生的推动力矩Tr,由于叶轮轴与轴承摩擦而产生的机械阻力矩Trm,被测流体通过智能型涡轮流量计叶轮时对叶轮产生的流动阻力距Trf,智能型涡轮流量计中电磁转换器对智能型涡轮流量计叶轮产生的电磁力矩Tre。根据牛顿运动定律,可以推算出如式(2)的智能型涡轮流量计叶轮的运动方程。根据智能型涡轮流量计叶轮进出口速度三角形分析计算,可得出如式(3)的智能型涡轮流量计的测量模型,其中Z 为叶轮流量计的叶片数, 为涡轮叶片的结构角。以上是智能型涡轮流量计的测量模型,可以定性地描述智能型涡轮流量计的基本特性。
2 装置的结构设计与分析
2.1 标准表法流量标准装置的结构设计根据加油机的计量检定规程,加油机流量计需要定期去检定部门检定仪表的准确度,检定过程中仪表的运输需要耗费很长的时间、精力以及财力。本装置设计的初衷是为计量检定部门制造出便于携带、可移动的标准装置,为计量检定人员对机场加油机流量检定时节省一定的时间和精力。标准表装置的出现可以大大节约检定所需要的时间成本。根据检定现场的需求,标准装置的长度不能大于1.5 m。标准装置中标准表选用的是高准确度的智能型涡轮流量计。
智能型涡轮流量计计量准确的前提是在涡轮流量的前后端要保持足够的直管段,直管段是被测流体进入智能型涡轮流量计之前流动状态稳定均匀的前置装置。
如图1 所示,标准装置由过滤器、整流器、压力变送器、前直管段、智能型涡轮流量计、后直管段、温度变送器、球阀组成。基于现场条件对装置的要求,标准装置长度有限,故需加弯管,在经过过滤器的弯管和直管段之间加有整流器,其目的是让流体在有限的直管段中更稳定,从而保证测量准确度。飞机加油机流量出口接头为HJS-63A 航空压力加油接头,通过加油软管与标准装置入口HDF63 型航空输油接头阀连接。进口流体依次通过过滤器、整流器、智能型涡轮流量计、球阀后,用HJS-63A 航空压力加油接头与加油机回油管路HDF63 型航空输油接头阀连接。
图2 是装置的电气连接原理图,智能型涡轮流量计的脉冲信号、温度变送器和压力变送器的信号连接至流量积算仪,通过RS485-USB 接头,各个信号连接至笔记本电脑进行采集和计算,各用电器的电源均由UPS 电源提供。

图1 标准装置原理图
标准表法流量仪表检定系统软件(图3)可以根据被测流体以及仪表的物性条件进行设置,可以采集脉冲数、温度、压力、时间、瞬时及累积流量等数据。标定结束后,采集的标准表累积流量和输入被测表的累计流量进行比对计算。

图3标准表法流量仪表检定系统软件界面2.2 标准表法流量标准装置的可行性分析液体流量的计量方法主要可以分为标准容器法和标准表法。标准容器法:标准容器校验液体流量又可以分为两种,即动态校验法和静态校验法。动态校验法是让被测流体按照一定的流量流入标准容器,按照一定的时间读出标准容器液面的上升量,或者读出液面上升一定高度所需要的时间。静态校验法是让一定量体积的流体进入标准容器,测定从开始到结束所需要的时间。标准容器法有较高的计量准确度,然而在标定大流量时,制造大型精密的
标准容器比较困难。另外,加油机流量比较大,进入标准容器时航空煤油会混入空气影响计量准确度。标准表法是用准确度更高的仪表作为标准仪表对其他流量计进行校准,用作高准确度流量计有容积式、涡轮式、电磁式和差压式等形式。标准装置选用的是高准确度的智能型涡轮流量计。


根据智能型涡轮流量计检定规程,装置的扩展不确定度应不大于流量计*大允许误差的1/3。由于加油机仪表准确度等级为0.2 级,其*大允许误差应为±0.2%,作为标准表标准装置仪表的*大允许误差应为±0.067%。本标准装置中智能型涡轮流量计的出厂参数为仪表的*大误差即0.125%,仪表的重复性为0.02%。单从仪表的*大允许误差方面考虑,仪表不能满足作为标准表检定的准确度。但对加油机标定,是定点标定。根据定点标定的原理,仪表的重复性
可以作为准确度等级去校准加油机的流量计。根据流量检定装置的要求,流量标准装置及其
配套仪表均应具有有效的检定**。智能型涡轮流量计;校准用流体:RP-3 航空煤油校准用流体温度24.3 ℃;流量范围:71.967~89.849 m3/h。由表2 智能型涡轮流量计检定结果显示,仪表系数的不确定度为0.06%,而加油机仪表准确度等级为0.2级,根据智能型涡轮流量计计量检定规程,装置的扩展确定度不大于流量计*大允许误差的1/3。表3、表4显示温度变送器和压力变送器的扩展不确定度满足相应的计量检定规程。由此可得出结论,本装置可以作为流量标准装置检定航空煤油的流量。对于温度压力的测量,根据要求,温度测量不确定度所引起的流量测量不确定度应不超过标准装置扩展不确定度的1/5,压力测量不确定度所引起的流量测量不确定度应不超过标准装置扩展不确定度的1/5。
表2 智能型涡轮流量计校准结果
3 装置的不确定度分析
根据标准表法流量标准装置的不确定度要求,对装置不确定度进行分析,标准装置合成不确定度测量模型为

式中:u1 —— 标准流量计定点使用时A 类不确定度;
u2 —— 计时器的A 类标准不确定度;
u3 —— 计时器的B 类标准不确定度;
u4 —— 标准流量计不带配套仪表一起检定时
引起的流量测量不确定度,带配套仪表的标准流量计应带配套仪表一起检定,否则应考虑配套仪表的不确定度;
u5 —— 标准流量计检定和使用的流体条件不同引起的流量测量不确定度;
u6 —— 数据采集、信号处理、数据处理及通信不确定度引起的流量测量不确定度;
u7 —— 检定标准流量计的流量标准装置的合成不确定度
其中,本装置中流量积算仪采用XMFL-7 标准流量积算仪,有较高的分辨力。对于瞬时量在流量处于100~1 000 L/min 时,分辨力为百分之一(即0.01)个单位,对脉冲为0.01 Hz。对于累积流量在10~10 000 L 时,分辨力为千分之一(即0.001)个单位,对时间为1 ms。其计时器误差可以忽略不计,即u2= u3 = 0。标准流量计为智能型涡轮流量计,其传感器与配套转换器为一体,检定时是一起检定的,则u4 = 0。标准流量计检定和使用的流体都是3# 航空煤油,故u5 = 0。标准流量计仪表系数的重复性为0.02%,按规程可忽略不计,即u6 = 0。对于标准流量计测量A 类不确定度u1 的计算,

4 结语
重点对装置直管段的长度进行选择,确保不同黏度下3# 航空煤油在进入智能型涡轮流量计之前均有稳定的均匀的流动状态。对装置整体的不确定度分配进行计算,确定了标准表、温度变送器、压力变送器的选择方案。本装置的研制,大大缩短了机场加油机仪表标定的时间。装置体积小、结构简单、操作方便。本装置的研究有利于标准装置的普及,对流量计的研发以及生产具有重要意义。
相关资讯
- 智能型涡轮流量计在安装时需要的注意事项及现场布线要求
- 智能型涡轮流量计常见的四类故障与技巧解决方法
- 关于智能型涡轮流量计接线方式与操作方式及接线方式
- 智能涡轮流量计说明书
- 智能涡轮流量计不显示流量
- 智能涡轮流量计安装要求
- 智能型大香蕉啪啪啪的基本原理与结构应用
- 智能涡轮流量计常见故障及排除
- 智能涡轮流量计怎么调试
- 智能涡轮流量计尺寸
- 智能涡轮流量计量程范围
- 智能涡轮流量计使用方法
- 智能型涡轮流量计的结构原理
- 一种基于HART总线的智能涡轮流量计分析介绍
- 智能型涡轮流量计在航空煤油流量检定的选型及直管段长度确定
- 液体智能涡轮流量计价格,脉冲涡轮流量计
- 智能涡轮流量计价格
- 智能大香蕉啪啪啪,大香蕉啪啪啪厂家价格
- 智能大香蕉啪啪啪的传感器保养措施及内部部件的维护
- 关于智能涡轮流量计的选型要求与标准
- 智能型涡轮流量计
- 智能型大香蕉啪啪啪
- 液体智能涡轮流量计
- 智能大香蕉啪啪啪
- 智能涡轮流量计厂家,数显涡轮流量计
- 智能大香蕉啪啪啪,脉冲输出涡轮流量计
- 智能型涡轮流量计,高温涡轮流量计
- 智能型大香蕉啪啪啪,大香蕉啪啪啪价格
- 智能涡轮流量计厂家,脉冲输出涡轮流量计
- 智能涡轮流量计厂家,分体式涡轮流量计

